Page 88 - Telephone Directory | High Court of Andhra Pradesh
P. 88
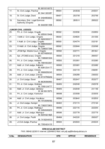
M: 9010016072
17. Sr. Civil Judge, Parchur 08594 243502 243501
M: 9441365387
18. Sr. Civil Judge, Darsi 08407 253700 253799
M: 9494856655
19. Secretary, Dist. Legal Services 08592 280511 280522
Authority (Ongole)
M: 9440901058
JUNIOR CIVIL JUDGES
20. Prl. Jr. Civil Judge, Ongole 08592 233558 233953
M: 9550615468
21. I Addl Jr. Civil Judge, Ongole 08592 234820 231256
M: 9290085577
22. II Addl. Jr. Civil Judge, Ongole 08592 234074 233181
M: 9989083657
23. III Addl. Jr. Civil Judge, Ongole 08592 233944 233096
M: 7396507396
24. JFCM Spl. Mobile Court, Ongole 08592 232771 281841
M: 8374689020
25. Spl. JFCM(Excise), Ongole 08592 231218 280057
M: 7386681564
26. Prl. Jr. Civil Judge, Addanki 08593 223261 223380
M: 7981502357
27. Addl. Jr. Civil Judge, Addanki 08593 223381 223382
M: 9381234177
28. Prl. Jr. Civil Judge, Chirala 08594 232119 236281
M: 9966656240
29. Addl. Jr. Civil Judge, Chirala 08594 236289 236353
M: 9110765232
30. Jr. Civil Judge, Darsi 08407 253247 253377
M: 8639396993
31. Prl. Jr. Civil Judge, Giddalur 08405 242048 242078
M: 7093124777
32. Addl. Jr. Civil Judge, Giddalur 08405 243048 241156
M: 9618915973
33. Prl. Jr. Civil Judge, Kandukur 08598 223558 223505
34. Addl. Jr. Civil Judge, Kandukur 08598 223642 223502
M: 7013506092
35. Jr. Civil Judge, Kanigiri 08402 272174 272194
M: 7382072800
36. Prl. Jr. Civil Judge, Markapur 08596 222116 222354
M: 9494646925
37. Addl. Jr. Civil Judge, Markapur 08596 222778 222779
M: 6304021825
38. Jr. Civil Judge, Podili 08499 242330 295027
M: 7418244103
39. Jr.Civil Judge, Parchur 08594 243503 243504
M: 7093424100
SRIKAKULAM DISTRICT
FAX: 08942-223810 Internet: 228498 E-Mail: srk.pdj-ap@indianjudiciary.in
S.No. DESIGNATION STD OFFICE RESIDENCE
87

